|
|
The Structure of Management Information (SMI), described in detail in RFC 1155, is a framework that describes the basic types of information that can be manipulated by SNMP. It provides a skeleton that specifies the basic format and hierarchy of management data but does not describe the objects that can be managed. Rather, it describes the building blocks from which managed objects are constructed.
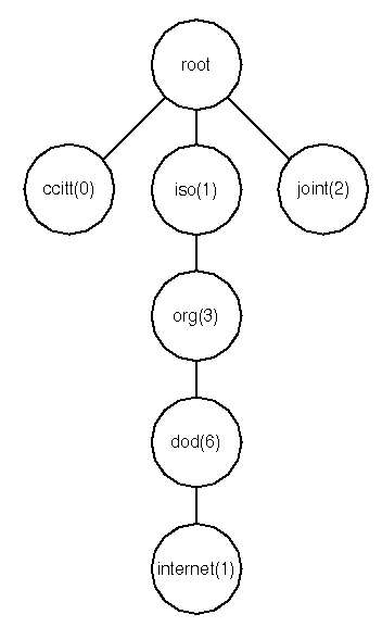
A fundamental concept of SNMP is the notion of object identifiers. An object identifier (OID) is a tag that allows a management entity to refer unambiguously to a particular object. Object identifiers are allocated in a tree fashion. The value of the object identifier is a sequence of integers that refer to a particular traversal of the object tree. ``Object identifier hierarchy'', shows a portion of the object identifier hierarchy.
The root of the OID tree has no label. Currently, there are three children of the root, ccitt(0), iso(1), and joint-iso-ccitt(2). The ISO node has many children, one of which is org(3), which is allocated for international organizations. Under org(3) is the U.S. Department of Defense, dod(6), which has the child internet(1).
The name { iso org dod internet } is a symbolic representation for the integer series 1.3.6.1. Both refer to the object identifier of the Internet subtree. In practice, 1.3.6.1 can simply be referred to as ``internet''. The terms { iso org dod internet }, 1.3.6.1, and internet are all different ways of identifying the same object. In SNMP PDUs, only the numeric sequences are used.

Object identifier hierarchy
To ensure that object identifiers are unique, each organization is responsible for a particular section of the OID tree. Just as ISO and CCITT have responsibility for their portions, the Internet Activities Board (IAB) has responsibility for the internet portion.
To allow vendors to support objects that may not be defined in the standard MIB, the IAB reserves a portion of the OID tree for enterprises MIBs. This provides vendors with the flexibility they need.
The SMI defines basic data types that make it convenient to describe managed objects. These types are: Integer, Octet_String, Object_Identifier, ipAddress, Counter, Gauge, TimeTicks, NetworkAddress, and Opaque. Readers who are interested in the precise semantics of these objects are encouraged to read the RFC for further information.
See also: